在透明瓶胚注塑过程中,由于原材料及注塑工艺等的差异,就会导致同一批次或不同批次的瓶胚在雾度上出现差异,为了准确的评定透明瓶胚的雾度,就可以使用雾度仪进行检测。本文介绍了雾度仪测量透明瓶胚雾度的方法,感兴趣的朋友可以了解一下!

透明瓶胚的雾度指什么?
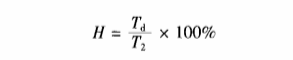
雾度表示透明或半透明材料不清晰的程度,是材料内部或表面由于光散射造成的云雾状或混浊的外观。用色温为6774K的标准“C”光源的一束平行光垂直照射透明或半透明薄膜、片材、板材,由于材料内部和表面造成散射,常用部分平行光偏离入射方向大于2.5°的散射光通量(Td)与透过材料的光通量(T2)之比表示H,公式如下:

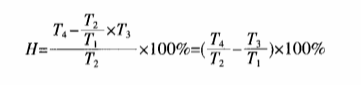
可通过测量无试样时入射光通量(T1)与仪器造成的散射光通量(T3)、有试样时透过的T2与散射光通量(T4)计算H,公式如下:

影响透明瓶胚雾度的因素:
1.杂质对瓶胚雾度的影响
瓶级切片中含有任何杂质,都会影响注塑后产品的透明性。在熔融聚合中,由于原辅料中含有金属离子和酸根离子,在反应器中容易形成金属盐,金属盐会起到晶核的作用,使PET切片的结晶速率变快,导致注塑后瓶胚雾度上升,透明度变差。
2.黏度对瓶坯雾度的影响
提高瓶坯切片的黏度,瓶胚的H降低,透明度提高。这是由于黏度提高,PET相对分子质量增加,在相同温度下,分子链的运动速率下降,结晶速率降低,产品的透明度增加。
3.热稳定性含量对瓶坯雾度的影响
瓶用PET生产采用的热稳定剂可以是磷酸三甲酯、磷酸三苯酯、H3PO4和聚磷酸,随着热稳定剂含量的增加,瓶坯的雾度增加。这是由于磷酸根和催化剂中的Sb3+形成磷酸盐,磷酸盐在PET熔体中相当于一种结晶成核剂。热稳定剂含量越高,生成的磷酸盐也越多,PET的结晶速度越快,雾度变大,即透明度变差。
雾度仪检测透明瓶坯制品的雾度:
透明瓶胚在生产的过程中,由于多种不稳定因素的影响,就会导致瓶胚在光学性能上出现差异,为了准确的评定透明瓶胚的雾雾,就可以使用雾度仪进行检测。具体检测步骤如下:
1、接通电源,使仪器稳定在10min以上。
2、测量试样厚度。板状、片状试样测量到0.05mm,薄膜试样测量到0.001mm。
3、调节零点,使积分球在暗色时检流计的指示为零。
4、当光线无阻挡时,调节仪器使检流计的指示为100。
5、接上标准白板,入射光通量为100时检流计读数为T1。
6、接上试样和标准白板,测得透射光通量,读取检流计读数为T2。
7、移去试样好标准白板,测得仪器的散射光通量,读取检流计读数T3。
8、接上试样,不接标准板,测得仪器和试样的散射光通量读取检流计上读数T4。
然后根据透光率和雾度计算公式计算出塑料制品试样的透光率和雾度。



