雾度仪是测量透明塑料、玻璃以及其他透明材料对光线的散透射特性,并以雾度来定量表征的仪器。为了保证仪器测试性能的稳定性与测试结果的准确性,就需要定期对仪器进行校准。本文对雾度仪校准项目及校准方法做了介绍。

仪器零点校准:
待仪器预热稳定后,样品仓或样品架上不放置任何样品,以空气作为参比,按照仪器的正常操作步骤,调节仪器的雾度零点和100%透射比。记录仪器雾度零点。
雾度零点漂移:
仪器在样品仓未放置任何样品的条件下,调节仪器的雾度测量零点,观察3min。读取雾度示值的最大漂移量,即为仪器的雾度零点漂移。
雾度示值误差与重复性:
1.根据仪器本身的照明光源测量条件(C光源或A光源),采用对应光源条件下标定量值的一组标准雾度片,对仪器进行雾度校准。
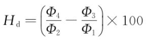
2.仪器状态稳定后,按照仪器操作说明,用待校准雾度计测定一组五片的标准雾度片。雾度Hd按式下计算:

每片连续测量3次,记录各次雾度测量的仪器示值,然后取平均值,作为该标准雾度片的雾度校准示值。对应每片标准雾度片测量的雾度示值误差按下式计算:

式中:H'd各雾度片3次雾度值测量的平均值;Hds各雾度片的雾度标准值。
用雾度值在10左右的1片雾度片,连续测量3次,计算仪器的雾度测量重复性:

式中:Hdi——第i次雾度测量值。
透射比示值误差测量:
1.用一组五片标准雾度片标定给出的透射比值,以空气为参比,分别测量各标准雾度片的总透射比值。试样的总透射比τt按下式计算:

试样的漫透射比τd为:

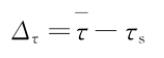
每片标准片连续测量3次,然后取平均值,作为该标准雾度片的透射比校准示值。透射比准确度按下式计算:

式中:τ各雾度片3次透射比测量的平均值;τs各雾度片的透射比标准值。
2.透射比重复性测量
用一片要求在C光源或A光源条件下透射比在0.80~0.90雾度片,用雾度计测量其透射比值,连续测量3次,透射比重复性按下式计算:






