雾度仪是测量透明塑料、玻璃以及其他透明材料对光线的散透射特性,并以雾度来定量表征的仪器。为了保证雾度仪测试性能的稳定性和测试结果的准确性,就需要定期的对雾度仪进行校准。本文对雾度仪校准条件及校准方法进行了介绍,对此感兴趣的朋友可以了解一下!

雾度仪校准条件:
1.校准环境条件
(1)环境温度:(23±5)℃。
(2)湿度:<80%RH。
(3)电源电压:AC(220±22)V,频率为(50±1)Hz。根据被检仪器的电源要求选用。
2.校准用设备
标准雾度片一套5片,其雾度值分别为1,5,10,20,30左右。标准雾度片的外形尺寸应能刚好置于仪器的样品仓中,一般要求外形尺寸为50 mm×50mm,雾度片中央有效测试区域直径不小于Φ30mm。对应各标准雾度片在C光源或A光源下都有确定的雾度值和透射比值。标准雾度片的值必须经过上一级计量部门校准,有校准证书,且校准时间处于有效期内。
雾度仪校准项目及校准方法:
仪器校准前,应检查仪器的外观,不应有影响仪器校准操作的缺陷。仪器检查一切正常后,按照仪器操作使用说明书规定开机预热。
1.仪器零点校准
待仪器预热稳定后,样品仓或样品架上不放置任何样品,以空气作为参比,按照仪器的正常操作步骤,调节仪器的雾度零点和100%透射比。记录仪器雾度零点。
2.雾度零点漂移
仪器在样品仓未放置任何样品的条件下,调节仪器的雾度测量零点,观察3min。读取雾度示值的最大漂移量,即为仪器的雾度零点漂移。
3.雾度示值误差与重复性
(1)根据仪器本身的照明光源测量条件(C光源或 A光源),采用对应光源条件下标定量值的一组标准雾度片,对仪器进行雾度校准。
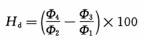
(2)仪器状态稳定后,按照仪器操作说明,用待校准雾度计测定一组五片的标准雾度片。雾度H按下式计算:

每片连续测量3次,记录各次雾度测量的仪器示值,然后取平均值,作为该标准雾度片的雾度校准示值。对应每片标准雾度片测量的雾度示值误差按下式计算:

式中:H'd——各雾度片3次雾度值测量的平均值;
Hds——各雾度片的雾度标准值。
用雾度值在10左右的1片雾度片,连续测量3次,计算仪器的雾度测量重复性:

式中:Hdi——第i次雾度测量值。
4.透射比示值误差测量
(1)用一组五片标准雾度片标定给出的透射比值,以空气为参比,分别测量各标准雾度片的总透射比值。试样的总透射比τt按下式计算:

漫透射比τd为:

每片标准片连续测量3次,然后取平均值,作为该标准雾度片的透射比校准示值。透射比准确度按下式计算:

式中:τ——各雾度片3次透射比测量的平均值;
τs——各雾度片的透射比标准值。
(2)透射比重复性测量
用一片要求在C光源或A光源条件下透射比在0.80~0.90雾度片,用雾度计测量其透射比值,连续测量3次,透射比重复性按下式计算:


